产品目录

本文将会在节流装置的特性、用途、规格上面做详细的说明与介绍,镇江市华阳机电制造有限公司作为是专业的节流装置生产厂家,为您选购适合自己的产品做一定的指导是必要的。 要问节流装置哪里好,当选镇江市华阳机电制造有限公司。
概述:
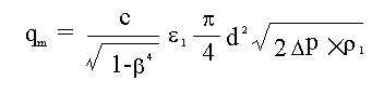
用节流装置测量管道中流体流量已历史悠久,在国内、国外都已标准化,制造标准GB/T2624-93(idt ISO5167-1-91)。节流装置一般与差压计(或差压变送器)配套使用, 用于测量液体、蒸汽、气体的流量。广泛应用于石油、化工、冶金、电力和轻工等工业部门。其原理是使流束在节流件处形成局部收缩,产生静压力差,通过测量静压力差来衡量流体流过节流装置时的流量大小。这种测量方法是以能量守恒定律和流动连续性方程为基础的,计算公式为:


型号表示方法:

节流元件型式(表一):
| 代号 | 节流元件型式 | 代号 | 节流元件型式 |
| K | 标准孔板 | I | 偏心孔板 |
| P | ISA1932喷嘴 | Q | 圆缺孔板 |
| H | 1/4圆孔板 | J | 经典文丘里管(机械加工) |
| C | 长径喷嘴 | T | 经典文丘里管(铁板焊接) |
| L | 文丘里喷嘴 | X | 小口径孔板 |
取压方式:
| 代号 | 取压方式 | 代号 | 取压方式 |
| H | 角接环室取压 | J | 径距取压 |
| F | 法兰取压 | C | 角接取压整体式 |
| Z | 角接钻孔取压 | T | 特殊取压方式 |
公称管径:
| 代号 | 01 | 02 | 03 | 04 | 05 | 06 | 07 | 08 | 10 | 12 | 15 | 17 | 20 |
| 管径mm | 15 | 20 | 25 | 32 | 40 | 50 | 65 | 80 | 100 | 125 | 150 | 175 | 200 |
| 管径in | 1/2 | 3/4 | 1 | 11/4 | 11/2 | 2 | 21/2 | 3 | 4 | 5 | 6 | 8 | |
| 代号 | 22 | 25 | 27 | 30 | 35 | 40 | 45 | 50 | 60 | 70 | 80 | 90 | 99 |
| 管径mm | 225 | 250 | 275 | 300 | 350 | 400 | 450 | 500 | 600 | 700 | 800 | 900 | 1000 |
| 管径in | 10 | 12 | 14 | 16 | 18 | 20 | 24 | ||||||
公称压力:
| 代号 | 00 | 01 | 02 | 03 | 04 | 05 | 06 | 10 | 16 | 20 | 25 | 32 |
| 公称压力MPa | 0.6 | 1.0 | 1.6 | 2.5 | 4.0 | 5.0 | 6.3 | 10 | 16 | 20 | 25 | 32 |
| 代号 | 150 | 300 | 400 | 600 | 900 |
| 公称压力 磅级 | 150 | 300 | 400 | 600 | 900 |
直管段表示方法:
| 代号 | 表示内容 |
| P | 带上、下游直管段 |
| PF | 带上、下游直管段及连接法兰 |
不带直管段,省略此单元。
上一篇我们就节流装置做了详细介绍和说明, 没有了!在下一篇继续做详细介绍,如需了解更多我们的信息,请持续关注。
本文由节流装置生产厂家镇江市华阳机电制造有限公司于2018/3/1 15:34:09整理发布。
转载请注明出处:http://www.huayangcompany.com/cpzx/3372.html
上一篇: 节流装置 下一篇:没有了!




